13611652501
15000728859
企業內訓:本文利用經濟學的理論知識,從測試過程的投入、產出入手,對如何使銀行測試做的更“經濟”提出了建議與思考。
企業內訓:本文利用經濟學的理論知識,從測試過程的投入、產出入手,對如何使銀行測試做的更“經濟”提出了建議與思考。
行業現狀:信息化建設從輔助業務、實現業務到驅動業務,早已成為銀行的核心競爭力。為了保證信息化建設過程質量,確保產品和服務滿意度,銀行測試逐步受到重視,進入了快速發展期,其投入也隨之逐年增長。其實從投入產出的角度來講,測試是成本和回報的博弈,兩者并非是永恒的線性變化關系。目前大部分商業銀行已跨越投入回報趨于線性變化的初級階段,邁進了邊際效益遞減的成熟階段。如何使得銀行測試更加“經濟”已成為當前從業人員重點研究的課題。
銀行測試的“經濟學”研究在經濟學中,投入產出比是用來評價經濟效果的重要指標。如果用I表示為投資總額,IN表示為產出總和,其計算公式可以表示為:R=I/IN。該值越小,表明經濟效果越好。在測試過程中,“投入”可以是開展測試活動所需人力、時間和環境等資源的成本,“產出”可以是通過測試解決缺陷、降低風險等手段最終提高的軟件質量。因此,也可以通過分析投入產出之間的關系,來評價銀行測試的經濟效果。
測試為什么要開展“經濟學”研究近幾年,新科技在金融領域的應用呈井噴式發展,人工智能、大數據、區塊鏈、物聯網、云計算等技術方法的廣泛應用,引領了銀行產品創新發展的新方向、新思路,也使得銀行科技底層架構調整和開發新型產品的需求層出不窮。不斷增長的需求、成本約束以及質量提升之間的矛盾日益突出。如果一味控制測試方面的投入,可能不足以及時識別和有效應對因軟件缺陷造成的系統風險;如果一味追求質量保證和控制,則可能造成項目工期延誤、成本失控,甚至高于系統所能帶來的效益。那么該如何平衡需求、成本和質量之間的關系,發揮測試資源的最大效益呢?銀行測試的“經濟學”研究就是要利用經濟學的理論知識,從測試過程中的投入產出入手,從而分析研究解決問題的有效舉措。
幾項做到“經濟”的最佳實踐
1、適度測試。
(1)適度測試的理論意義。測試規劃階段,設計者經常會糾結于人員、時間和環境資源有限,無法確保每個測試需求都能按期做到全量覆蓋,需要合理分配有限資源,有所取舍,從而最大程度確保測試質量,做到適度測試。
目前行業內普遍采用的適度測試實踐有三種。一是基于經驗的選擇。由經驗豐富的測試人員分析測試需求,根據發現缺陷的可能性程度確定測試的優先級別和資源需求,從而根據現有的資源現狀縮小測試范圍。這種方法多用于有歷史數據積累和經驗參考的項目。二是基于對本期開發變更可能影響業務范圍的評估。這種方法在實施前,一般都建立了一套比較完備的“系統功能、接口與業務需求對應關系圖”,根據開發人員修改變動的部分來分析評估可能影響到的業務范圍,重點對這些業務進行測試。這種方法多應用于系統較為成熟的升級優化項目。三是基于缺陷預測。首先需要分析可能影響缺陷數量的各項因素,然后根據以往積累的數據,將各項影響因素與缺陷數量之間的關系建立數學模型。在新項目測試過程中,可將各項影響因素的現時數據導入模型,形成對缺陷數量的趨勢分析。當缺陷出現明顯收斂時,便可結束測試,從而避免造成資源浪費。這種方法多用于有大量數據積累的項目。
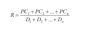
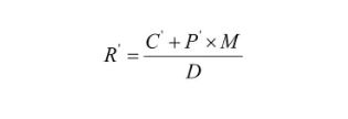
(2)適度測試的經濟學意義。理論上來說,適度測試減小了測試的范圍,也設置了衡量測試結束的標準,應該是一種經濟的方法。從經濟學的角度來分析,假設某測試需求有n個測試功能點,每個功能點的執行案例數分別為PC1、PC2、……、PCn,發現的缺陷數分別為D1、D2、……、Dn,其投入產出比R就可以表示為:

根據前面提到的適度測試方法,更有針對性地選擇i個功能點進行測試,公式可調整為:

由于選擇的功能點為關鍵功能點,可以覆蓋絕大部分的缺陷,因此分母D1+D2+…+Di并沒有明顯減小,而分子執行案例數PC1+PC2+…+PCi則明顯減少,因此R';
(3)適度測試的風險和應對方法。適度測試的確起到了經濟效果,但選擇的測試范圍是否能夠發現絕大多數的重大缺陷,確保測試質量,是一個潛在風險點。相比之下,基于經驗的適度測試完全取決于測試人員的個人能力,風險較高,可應用在探索性測試。另外兩種方法則需要充分的積累,如果能不斷完善優化“系統功能、接口與業務需求對應關系圖”和數學模型,風險將能得到有效控制。
2、眾測。
(1)眾測的理論意義。眾測是通過變革測試主體和統籌方法來提升測試效益的一種嘗試。該模式利用眾包的形式快速拓展測試人員屬性族群,特別針對兼容性、用戶體驗等測試需求。當然,銀行業出于信息安全的考慮,主要還是“內主外輔”,即由業務部門或分行用戶參與測試,少數任務也有嘗試通過外部機構組織公眾用戶來完成。
對銀行測試來說,常規性的功能、非功能測試仍是主要測試方式。眾測的價值則主要體現在:一是發現常規測試人員不能發現的問題。因為常規測試人員已經存在一定的思維定式,很難完全站在用戶的角度進行體驗測試,或者難以全面考慮所有的用戶場景。二是特殊的激勵機制能夠進一步挖掘測試人員潛力。眾測一般采取對測試任務和發現缺陷分別計費的方式,而且不重復支付。因此能夠鼓勵參與人員積極搶單,“千方百計”第一個發現缺陷,使得參與者更愿意發揮主觀能動性。
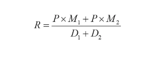
(2)眾測的經濟學意義。常規測試方法,假設P為測試人員單位工作量的費用,M1、M2為測試花費的工作量,D1、D2為發現的缺陷數,則投入產出比:

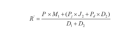
若在進行常規測試的同時,部分任務采用眾測模式,即M2的工作量由眾測替代。假設常規測試部分眾測任務的獎勵費用一般為測試任務數J2乘以獎勵單價Pj,再加上發現缺陷數D2乘以獎勵單價Pd,則投入產出比為:

常規測試時,M2以人月來進行衡量,P是已經確定好的人月單價,也就是說測試人員的費用由服務的時間來決定,但在這段時間內,測試的產出會受到環境、版本等各種因素的影響,P并沒有“物盡其用”。如果采用眾測的模式,總花費是由J2和D2共同決定,也就是說“多干多得”、“優者多得”。因此同樣的任務,采用眾測模式時可以使得花費盡量少,發現的缺陷卻更多。從公式來看,分子中Pj×J2+Pd×D2減小,分母中的D2增大,因此R';
(3)眾測的風險和應對方法。眾測作為一種新型的測試模式,對銀行測試有一定的幫助作用,但眾測并不是萬能的,如眾測人員缺乏統一管理,水平也參差不齊,對于重要系統的測試并不適合。另外,如果安排了不恰當的測試任務,很可能造成測試成本失控,眾測成本遠遠大于常規測試成本,從而喪失它本身的優勢。因此,目前眾測模式多用于用戶體驗測試和兼容性測試。若想進一步推廣眾測,則需要在加強眾測管理的同時,平衡好常規性測試和眾測之間的關系,真正實現“花小錢,辦大事”的目標。
3、自動化測試。
(1)自動化測試的理論意義。自動化測試其實由來已久,為了改善傳統測試依靠“人海戰術”的模式,銀行測試人員一直在研究利用自動化的方式提高測試效率。從最早的“錄制回放”模式,到數據驅動的自動化測試模式,再到基于“關鍵字”的自然語言自動化框架,自動化測試在測試人不懈地鉆研中飛速發展。無論采用哪種方式,主要的目的就是要提高測試執行效率,縮短軟件交付周期,完成人工測試無法完成的測試任務。
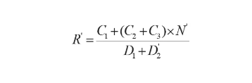
(2)自動化測試的經濟學意義。自動化測試的投入成本包括前期的建設成本(C1),即自動化測試框架平臺開發、測試設備準備、腳本編寫等方面的花費,測試過程中腳本維護的成本(C2),以及運行成本(C3),其產出包括常規測試缺陷(D1)和回歸測試缺陷(D2';),N';為自動化測試的輪次,因此投入產出比:

如果采取手工測試,投入主要為人力成本(C),N為手工測試輪次,則投入產出比:

由此可見,自動化測試前期建設成本較高,在短期內優勢難以體現,甚至成本高于手工測試。只有自動化測試腳本不斷被重復使用,即N=N';越來越大,而每次腳本維護變動較少時,C2+C3小于C且趨于0,才能使得C1+(C2+C3)×N遠小于C×N。另一方面,在同一測試周期中,由于自動化測試效率遠高于手工測試,N';遠大于N,如采用自動化測試進行回歸測試,則可有效擴大回歸測試范圍,提高缺陷產值,即D2';>D2。使得R';
(3)自動化測試的風險和應對方法。一是自動化測試前期建設成本普遍較高,因此自動化測試的經濟效益在短期內并不明顯,只有長期使用才能體現出更大價值。二是自動化測試實施期間,同樣存在較高的腳本維護投入,對于待測系統更新較快、變動較大的項目,也需要慎重考慮。當然,新科技的應用會給自動化測試的發展帶來哪些新的契機,也可拭目以待。
4、“實習生計劃”。
(1)“實習生計劃”的理論意義。目前絕大多數銀行都會使用外協人員參與測試。這些銀行會普遍性地遇到兩個難題。一是較高的外協人員流失率造成難以降低的人員招聘和培訓成本。二是外協人員的服務年限和級別逐年增長,存量人員的費用成本同樣年年攀升。“實習生計劃”是近幾年在銀行業測試梯隊建設方面出現的一種創新。這種創新是通過銀行、外協公司和高校的三方合作,招收大四學生作為實習生,到銀行實際測試崗位開展實習,并簽訂“三方協議”;然后將通過實習具備合格能力的應屆畢業生補充到正式測試團隊,以填補人員流失缺口和替換高成本測試人員的方式。該計劃讓銀行能夠主動地控制測試外協人力成本。
(2)“實習生計劃”的經濟學意義。假設M為測試工作量(人月),如果不使用實習生時平均人員單價為P,D為發現缺陷數,C為人員流失成本,則投入產出比:

采用“實習生計劃”后,實習期間銀行需要投入基礎設施成本(C';),優秀實習生留用成為正式外協人員后,P';為平均人月單價,則投入產出比:

表面上,采用“實習生計劃”增加了基礎設施成本,但“實習生計劃”形成了一個可持續的人員培養機制。短時間來看,實習期已經培養過的人員可以很快進入工作狀態,也擺脫了招不到合適人員的困境,可以有效彌補人員流失成本C;長時間來看,隨著時間的推移,高成本的存量人員逐步被這些人員所替代,從而使得外協人員整體的平均單價降低,即P';
(3)“實習生計劃”的風險和應對方法。“實習生計劃”促使銀行、外包服務供應商和實習生達到了三贏的效果,但也存在一定風險。其關鍵點在于:一是要合理估算每期招收實習生的數量和實習周期;二是要在實習期間完善培養方案,確保較高的畢業入職轉化率。因此,實施該計劃的相關方還需要不斷磨合和積極探索。
總的來看,銀行測試對銀行信息化建設的作用還是十分關鍵的。為了把好“最后一道關”,銀行測試從業人員始終嚴陣以待,不敢松懈。隨著新科技的不斷引入,銀行測試也將面臨著更嚴峻的考驗。但不管怎樣發展創新,高效的“投入產出”應該是銀行測試從業人員和管理者永恒的追求。以上這些最佳實踐僅僅是“經濟學”研究應用在該領域的前期嘗試。希望圈內同仁能共同探討、研究和實踐,尋求更多更好的方法來推動銀行測試的進一步發展。
金程推薦閱讀: 銀行培訓成功案例
.png)
聲明▎來源銀行培訓,更多內容請關注微信號金程金融。原創文章,歡迎分享,若需引用或轉載請保留此處信息。
.png)
企業內訓主要是指各種以提高企業管理者組織管理技能為目的的教育活動。隨著互聯網的習速發展現在人們學習知識的渠道越來越多,企業管理培訓也是如此,除了傳統的線下面對面開班培訓外,還有在線課堂、在線視頻等方式,很多什么在選擇時都不知道自己適合哪一種。
.png)
很多HR都覺得自己企業內訓培訓體系不完善,員工培訓熱情不高、配合度不高,培訓走入了死胡同